Ответы
Ответ дал:
0
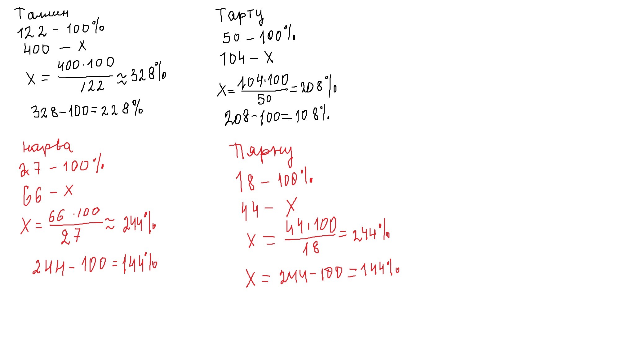
самым маленьким в Тарту на 108 %
самым большим в Таллине на 228%
самым большим в Таллине на 228%
Приложения:

Вас заинтересует
2 года назад
2 года назад
3 года назад
3 года назад
9 лет назад
9 лет назад
9 лет назад