• Предмет: Алгебра
  • Автор: Vitaluizaharov
  • Вопрос задан 9 лет назад

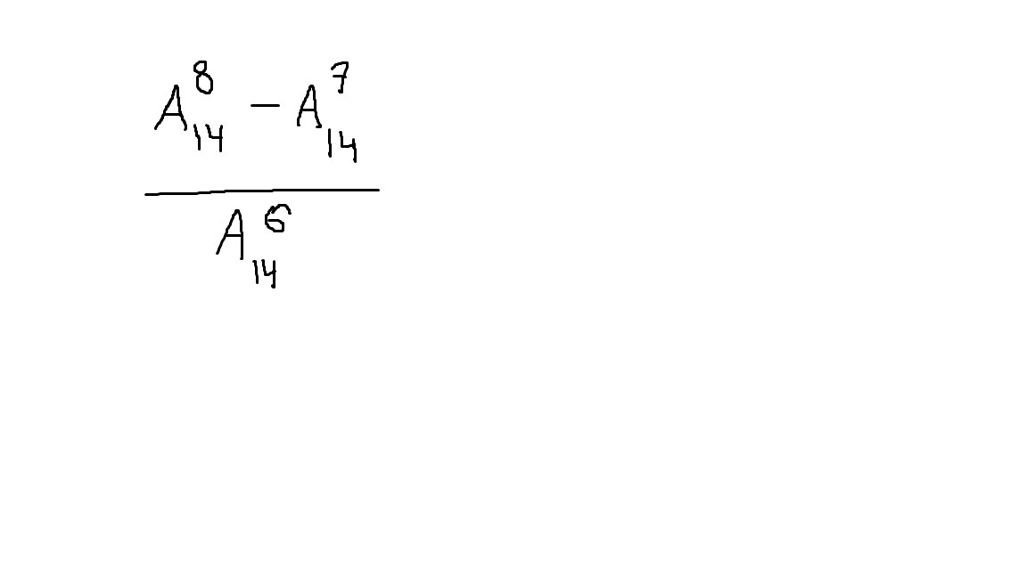
Помогите решить пример по комбинаторики

Приложения:

Ответы

Ответ дал: Эксперт5
0
 frac{A_{14}^8-A_{14}^7}{A_{14}^6}= frac{ frac{14!}{(14-8)!}- frac{14!}{(14-7)!}  }{ frac{14!}{(14-6)!} }= frac{ frac{14!}{6!} - frac{14!}{7!} }{ frac{14!}{8!} }= \\= frac{ frac{7*14!-14!}{7!} }{ frac{14!}{8!} }= frac{6*14!*8!}{7!*14!}=6*8=48
Вас заинтересует