• Предмет: Алгебра
  • Автор: Ricjc5
  • Вопрос задан 8 лет назад

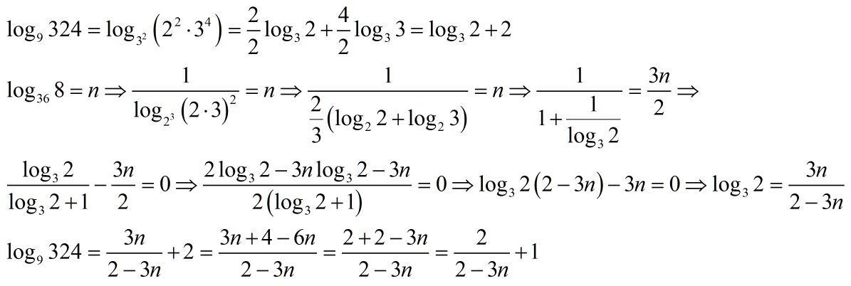
Log36 8 =n, найти log9 324

Ответы

Ответ дал: Аноним
0
.......................................................................................
Приложения:
Ответ дал: Аноним
0
в решении есть ошибка. ответ неверный.
Ответ дал: skvrttt
0
mathtt{log_{36}8=frac{3}{2}log_62=frac{3}{2log_26}=frac{3}{2log_2(3*2)}=frac{3}{2(1+log_23)}=ntolog_23=frac{3-2n}{2n};~}\mathtt{log_9324=log_9(81*4)=2+log_32=2+frac{2n}{3-2n}=frac{6-2n}{3-2n}}
Приложения:
Вас заинтересует