• Предмет: Алгебра
  • Автор: denis040304
  • Вопрос задан 8 лет назад

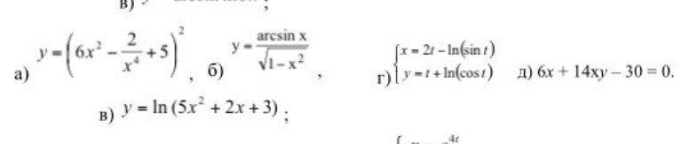
решить производные а б в г д

Приложения:

Ответы

Ответ дал: хах17
0
Сам реши,а то в будущем будешь улицы подметать
Вас заинтересует