• Предмет: Алгебра
  • Автор: vikasik59
  • Вопрос задан 8 лет назад

Под буквой б.
Решите, пожалуйста.

Приложения:

Ответы

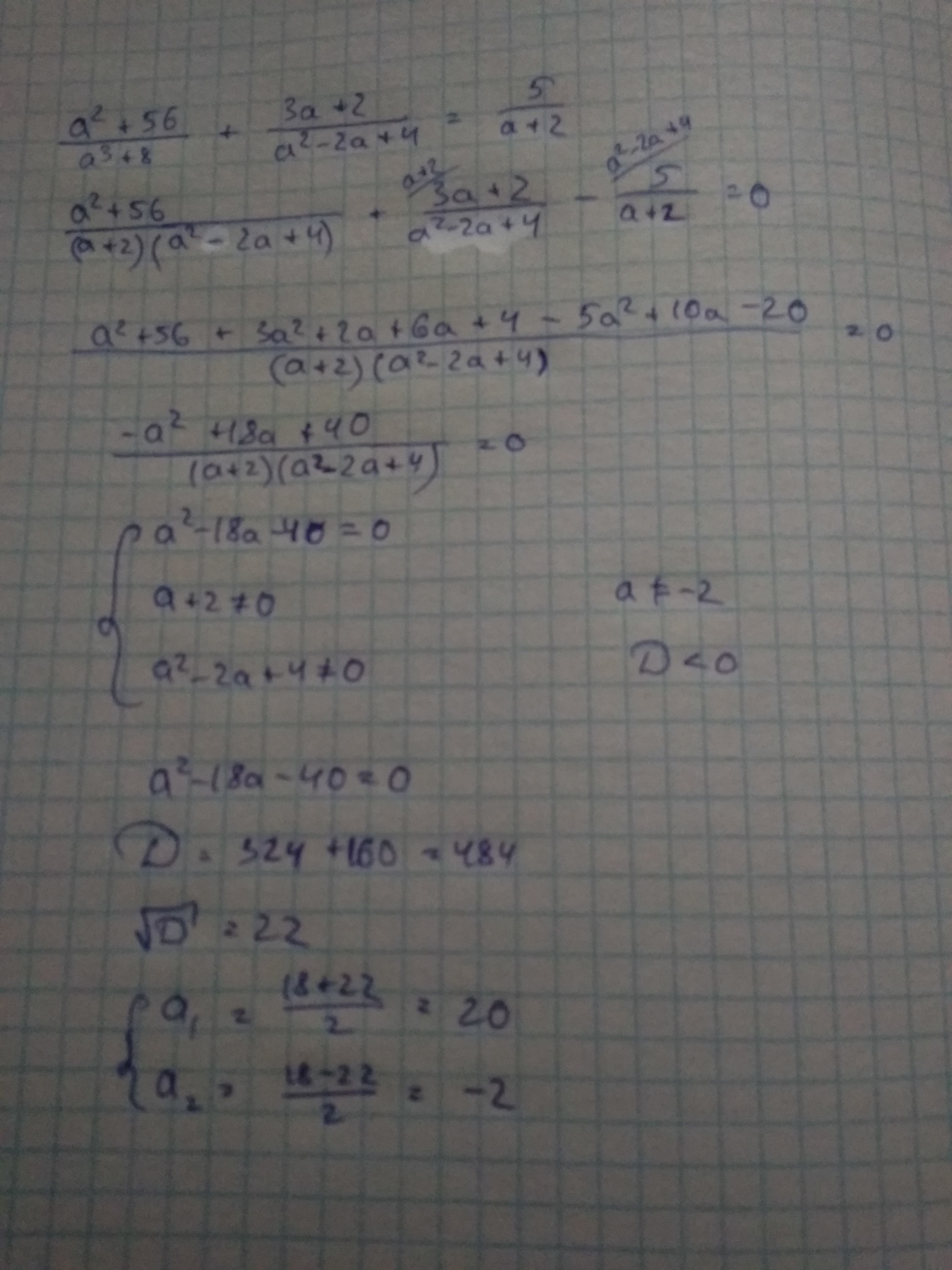
Ответ дал: NyashMya3h
0
Вроде бы так...............
Приложения:
Ответ дал: vikasik59
0
Спасибо большое. Те же корни получились, но в ответах учебника другие. Решила, так сказать проверить. Спасибо еще раз!
Ответ дал: Universalka
0
- 2 не подходит, при a = - 2 знаменатель обращается в ноль
Ответ дал: vikasik59
0
Да, я в курсе про ОДЗ.
Вас заинтересует