• Предмет: Биология
  • Автор: kkkseniyaEEE
  • Вопрос задан 8 лет назад

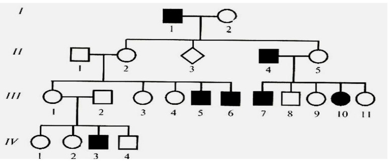
срочноооо Охарактеризуйте родословную семьи по признаку наследования гемофилии.

Приложения:

Ответы

Ответ дал: GogaSmirnov20
0
Ген сцепленн с полом , является доминантным , так как появляется у всех мужчин , во всех поколениях
Вас заинтересует