• Предмет: Алгебра
  • Автор: nikshtolnik22344
  • Вопрос задан 8 лет назад

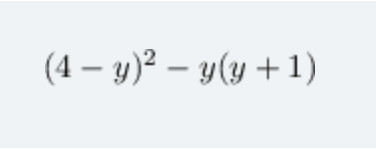
ПОМОГИТЕ! Упростите выражение и найдите его значение при

Пожалуйста решение запищите на листке, и отправьте фотографию, НЕ ОТВЕТ, а решение с ответом.

Приложения:

Ответы

Ответ дал: НураАмалиеСатре
0
Держи,я старалась поскорее)
Приложения:
Ответ дал: nikshtolnik22344
0
Спасибо большое)
Ответ дал: НураАмалиеСатре
0
Не за что))
Ответ дал: kisonix
0
.................................
Приложения:
Вас заинтересует