Ответы
Ответ дал:
0
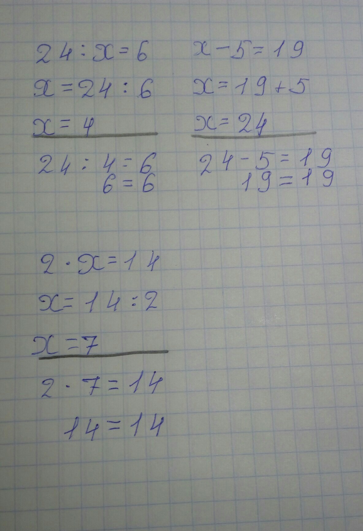
а) 2*х=14
б)24:х=6
в)х-5=19
Решение на фотографии)
б)24:х=6
в)х-5=19
Решение на фотографии)
Приложения:

Ответ дал:
0
,спосибо вам
Ответ дал:
0
Рада помочь)
Вас заинтересует
2 года назад
2 года назад
3 года назад
3 года назад
9 лет назад
9 лет назад
9 лет назад