Ответы
Ответ дал:
0
решение смотри внизу
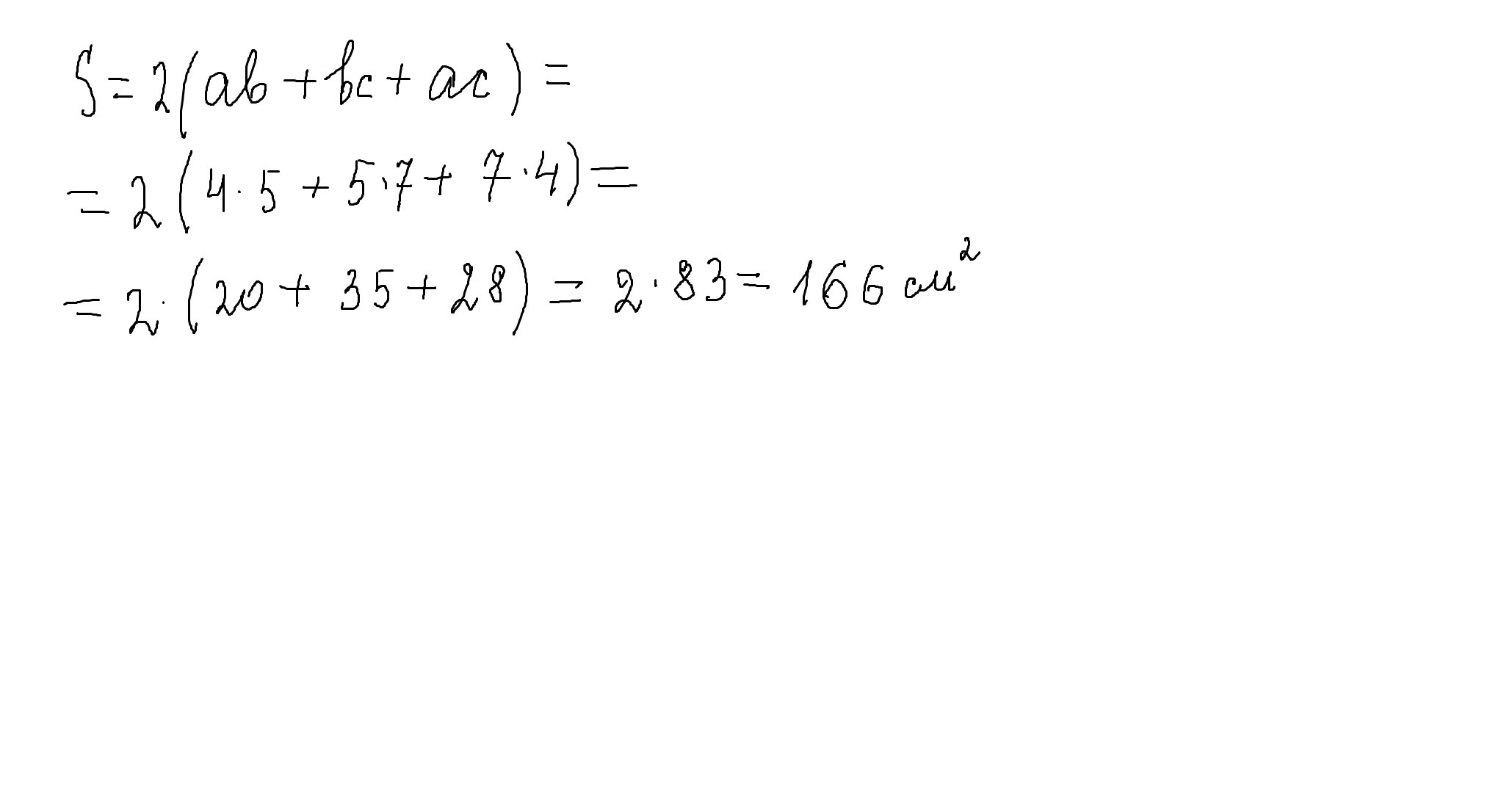
у параллелепипеда по 2 одинаковые противоположные грани,поэтому:
у параллелепипеда по 2 одинаковые противоположные грани,поэтому:
Приложения:

Вас заинтересует
2 года назад
2 года назад
9 лет назад
9 лет назад