Ответы
Ответ дал:
0
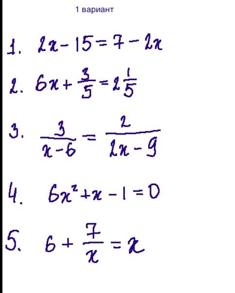
1) 2x - 15 = 7 - 2x
2x + 2x = 7 + 15
4x = 22
x = 5,5

x - 6 ≠ 0 ⇒ x ≠ 6
2x - 9 ≠ 0 ⇒ x ≠ 4,5
4x - 15 = 0
4x = 15
x = 3,75
6x² + x - 1 = 0
D = 1² - 4 * 6 * (- 1) = 1 + 24 = 25 = 5²
2x + 2x = 7 + 15
4x = 22
x = 5,5
x - 6 ≠ 0 ⇒ x ≠ 6
2x - 9 ≠ 0 ⇒ x ≠ 4,5
4x - 15 = 0
4x = 15
x = 3,75
6x² + x - 1 = 0
D = 1² - 4 * 6 * (- 1) = 1 + 24 = 25 = 5²
Вас заинтересует
2 года назад
3 года назад
9 лет назад
9 лет назад
10 лет назад