Ответы
Ответ дал:
0
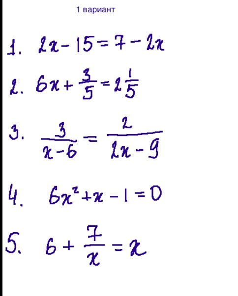
1) 2х+2х=7+15
4х=22
х=11/2
х=5,5
2) 6х=2 1/5-3/5
6х=1 6/5-3/5
6х=1 3/5
х=8/5:6
х=8/30
х=4/15
3) 3(2х-9)=2(х-6)
6х-18=2х-12
4х=6
х=3/2=1 1/2
4) дискриминант=1+24=25
х1,2=(-1+-5)/12 》
х1=-1/2
х2=1/3
5) 7/х-х+6=0
-х^2+6х+7=0
х^2-6х-7=0
дискр=36+28=64
х1,2=(6+-8)/2 》
х1=7
х2=-1
4х=22
х=11/2
х=5,5
2) 6х=2 1/5-3/5
6х=1 6/5-3/5
6х=1 3/5
х=8/5:6
х=8/30
х=4/15
3) 3(2х-9)=2(х-6)
6х-18=2х-12
4х=6
х=3/2=1 1/2
4) дискриминант=1+24=25
х1,2=(-1+-5)/12 》
х1=-1/2
х2=1/3
5) 7/х-х+6=0
-х^2+6х+7=0
х^2-6х-7=0
дискр=36+28=64
х1,2=(6+-8)/2 》
х1=7
х2=-1
Ответ дал:
0
Вот, вот это решение, давно бы так, а то один не фига не написал только ответы, спасибо с меня 5 звезд и "Спасибо"
Ответ дал:
0
1. ...
2х+2х=7+15
4х=22
х=22:4
х=5,5
2. ...
6x=2¹/5-³/5
6х=1³/5
х=⁴/15
3. ...
(через пропорцию)
2(х-6)=3(2х-9)
2х-12=6х-27
2х-6х=-27+12
-4х=-15
х=3,75
4. простите, многочлены мы ещё не проходили...
5. ↑
2х+2х=7+15
4х=22
х=22:4
х=5,5
2. ...
6x=2¹/5-³/5
6х=1³/5
х=⁴/15
3. ...
(через пропорцию)
2(х-6)=3(2х-9)
2х-12=6х-27
2х-6х=-27+12
-4х=-15
х=3,75
4. простите, многочлены мы ещё не проходили...
5. ↑
Вас заинтересует
2 года назад
2 года назад
3 года назад
3 года назад
9 лет назад
10 лет назад