Ответы
Ответ дал:
0
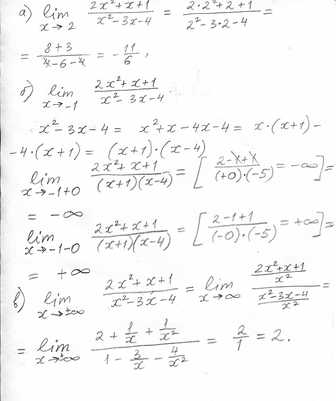
решение на листке ===>>
Приложения:

Ответ дал:
0
огромное спасибо!!:)
Вас заинтересует
2 года назад
3 года назад
9 лет назад
9 лет назад