Ответы
Ответ дал:
0
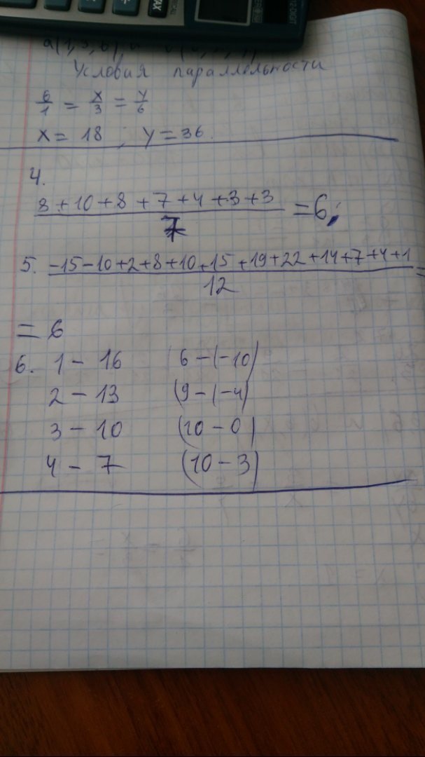
4) средненедельная температура 6 градусов
5) среднемесячная температура 6 градусов
6) 16
13
10
7
5) среднемесячная температура 6 градусов
6) 16
13
10
7
Приложения:
Ответ дал:
0
средненедельная температура = 6 градусов
среднемесячная температура = + 9 градусов
среднемесячная температура = + 9 градусов
Приложения:
Вас заинтересует
2 года назад
2 года назад
3 года назад
3 года назад
9 лет назад
9 лет назад
10 лет назад