• Предмет: Математика
  • Автор: Allikll
  • Вопрос задан 9 лет назад

Вычислить интеграл
Помогите пожалуйста !!!!!!!

Приложения:

Ответы

Ответ дал: moboqe
0
$$ LARGE int_{0}^{piover2}{sin{x}over 1+cos{x}}mathrm{dx}=-int_{0}^{piover2}{mathrm{d(1+cos{x})}over1+cos{x}}=-ln{(|1+cos{x}|)}|_{0}^{piover2}=-(ln{1}-ln{2})=ln{2} $$
Ответ дал: Allikll
0
Прости , но я ничего не поняла .....вы не можете на фото скинуть ?)
Ответ дал: Alexаndr
0
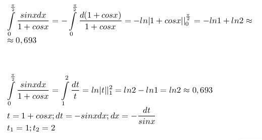
displaystyle intlimits^frac{pi}{2}_0frac{sinxdx}{1+cosx}=-intlimits^frac{pi}{2}_0frac{d(1+cosx)}{1+cosx}=-ln|1+cosx||^frac{pi}{2}_0=-ln1+ln2approx\approx0,693\\\\displaystyle intlimits^frac{pi}{2}_0frac{sinxdx}{1+cosx}=intlimits^2_1frac{dt}{t}=ln|t||^2_1=ln2-ln1=ln2approx0,693\t=1+cosx;dt=-sinxdx;dx=-frac{dt}{sinx}\t_1=1;t_2=2
Приложения:
Ответ дал: Allikll
0
Прости , но я ничего не поняла .....вы не можете на фото скинуть ?)
Ответ дал: Alexаndr
0
С телефона сидите?
Ответ дал: Allikll
0
Да
Ответ дал: Alexаndr
0
Добавил фото, обновите страницу.
Ответ дал: Allikll
0
Спасибо большое )))))
Вас заинтересует