Ответы
Ответ дал:
0
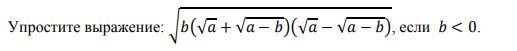
Используя формулу (a-b)(a+b)=a²-b²:

Вас заинтересует
2 года назад
2 года назад
3 года назад
9 лет назад
10 лет назад