• Предмет: Алгебра
  • Автор: kiralaitrichter
  • Вопрос задан 9 лет назад

Помогите кто-нибудь!(

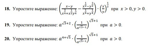
Приложения:

Ответа на этот вопрос пока нет. Попробуйте найти его через форму поиска.

Вас заинтересует