Ответы
Ответ дал:
0
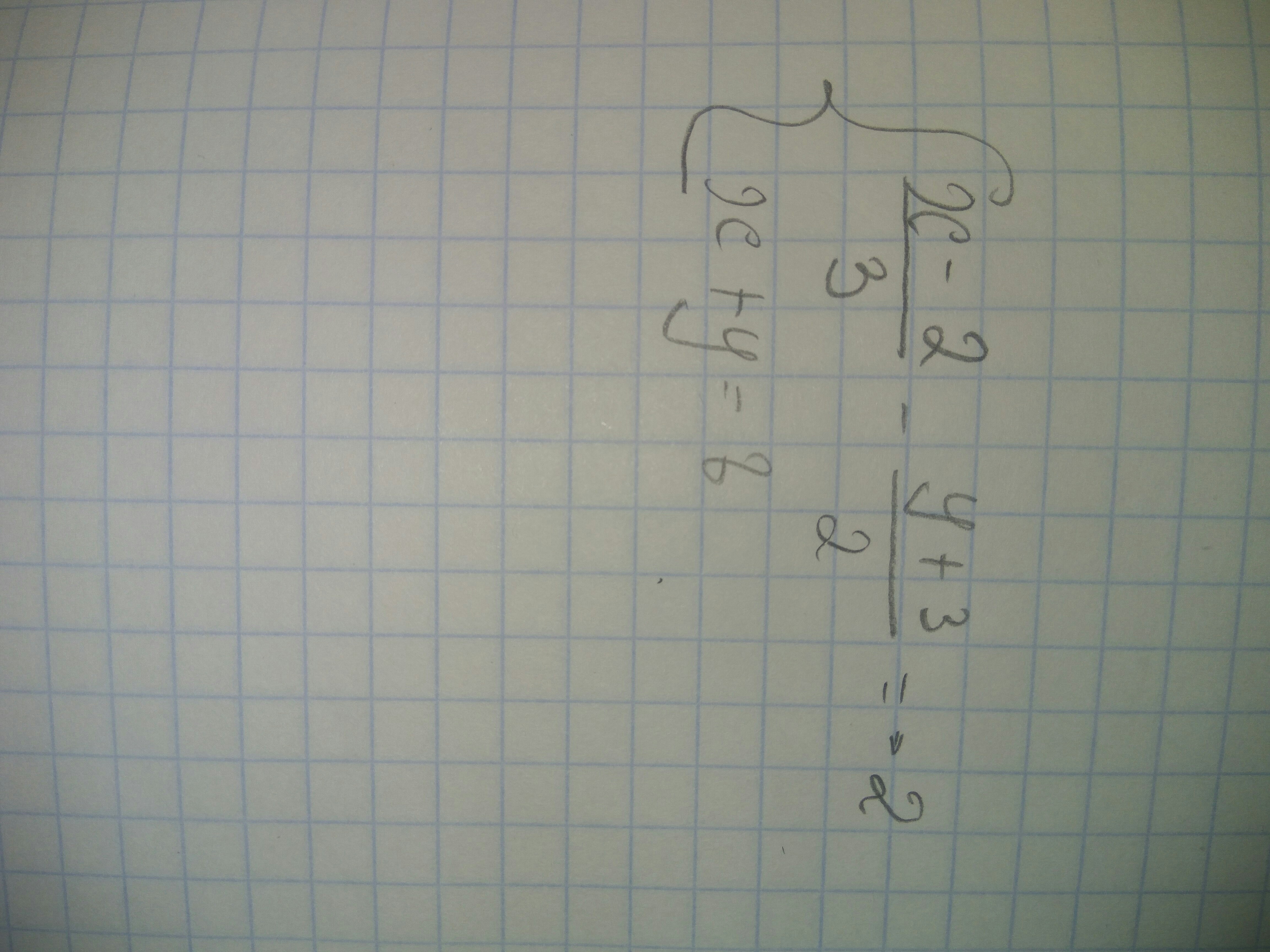
1. из первого уравнения выражаем x: x=1/2+(3/2)y
2. подставляем полученный ранее x во второе уравнение: 1/2+(3/2)y+y=8
3. решаем данное уравнение и узнаём, что y=3
4. подставляем данное значение y в x=1/2+(3/2)y
5. узнаём, что x=5
ОТВЕТ: x=5; y=3
2. подставляем полученный ранее x во второе уравнение: 1/2+(3/2)y+y=8
3. решаем данное уравнение и узнаём, что y=3
4. подставляем данное значение y в x=1/2+(3/2)y
5. узнаём, что x=5
ОТВЕТ: x=5; y=3
Вас заинтересует
2 года назад
3 года назад
3 года назад
9 лет назад
10 лет назад