• Предмет: Математика
  • Автор: Анжик11111
  • Вопрос задан 8 лет назад

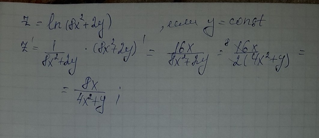
помогите плес найти производную функции z=ln(8x²+2y)

Ответы

Ответ дал: 1233090
0
решение задания смотри на фотографии
Приложения:
Ответ дал: 1233090
0
пожалуйста
Ответ дал: 1233090
0
Спасибо за оценку
Вас заинтересует