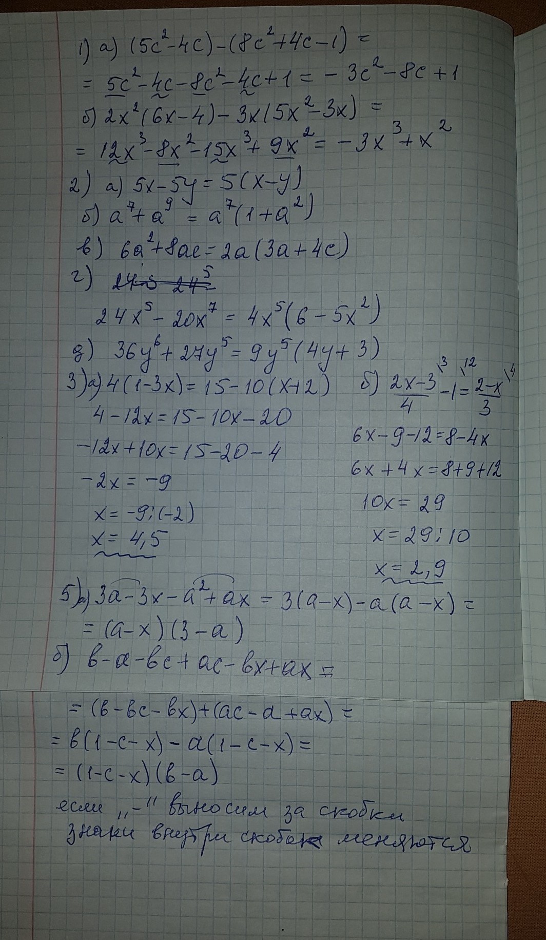
1) Раскройте скобки и привидите подобные слагаемые
а) (5с²-4с)-(8с²+4с-1) б) 2х²(6х-4)-3х(5х²-3х)
2) Вынисите общий множитель за скобки
а)5х-5у б)а7степень+а9степень в)6а²+8ас г) 24х5степень-20х7степень
д)36у6степень+27у5степень-18у4степень
3)решите уравнение
а) 4(1-3х)=15-10(х+2)
б) 
5)разложите на множители
а)3а-3х-а²+ах
б)b-а-bс+ас-bx+ах
Ответы
Ответ дал:
0
решение задания смотри на фотографии
Приложения:
Вас заинтересует
2 года назад
3 года назад
9 лет назад
9 лет назад
10 лет назад