• Предмет: Математика
  • Автор: jgfggv
  • Вопрос задан 8 лет назад

РЕБЯТА СРРОЧНО МАТЕМАТИКА 6 КЛАСС!!ОЧЕНЬ СРОЧНО!!!!!ПОМОГИТЕ ПЖ

Приложения:

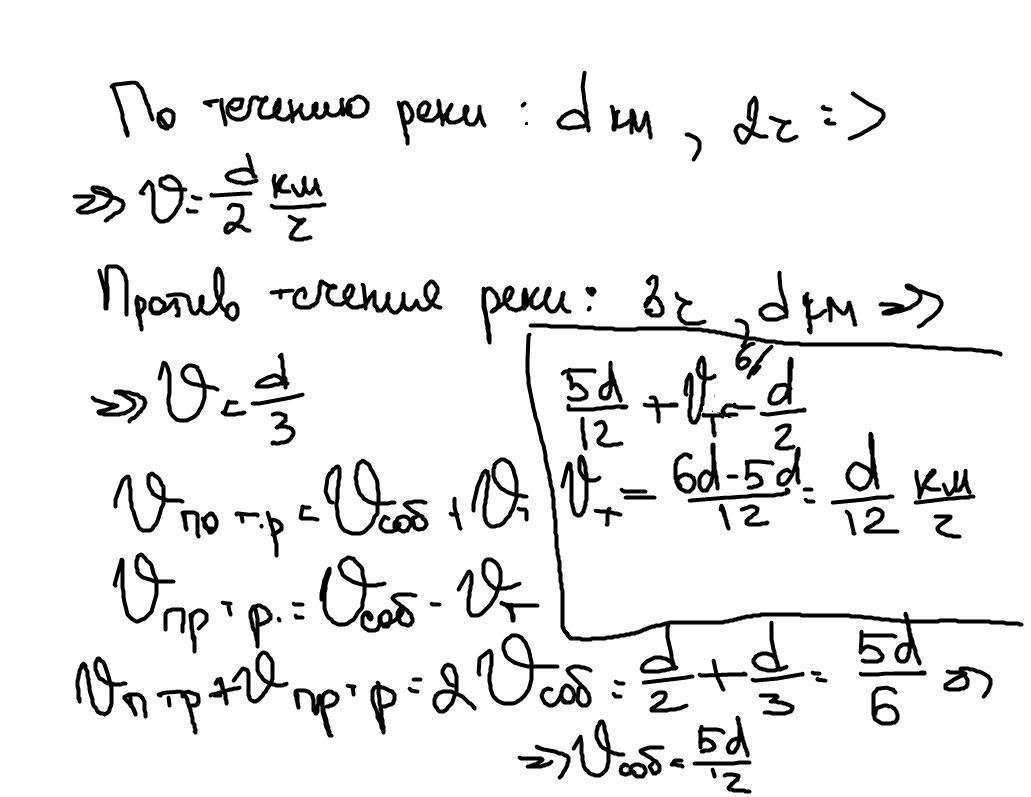
Ответы

Ответ дал: Люцифер2014
0
Держи)
Надеюсь, это правильно, хехе)
Удачи с домашней работой!
Приложения:
Вас заинтересует