• Предмет: Алгебра
  • Автор: Аноним
  • Вопрос задан 11 лет назад

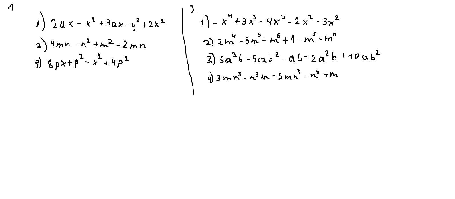
ребят помагите пожалуста нужно в обоих заданиях привести подобные члены многочлена 

Приложения:

Ответы

Ответ дал: Artem112
0
5ax+x^2-y^2
2mn+m^2-n^2
8px+5p^2-x^2
-5x^4+3x^3-5x^2
2m^4-4m^5+1
3a^2b+5ab^2-ab
-2mn^2-n^3m-n^3+m
Вас заинтересует