• Предмет: Математика
  • Автор: andreji200711
  • Вопрос задан 9 лет назад

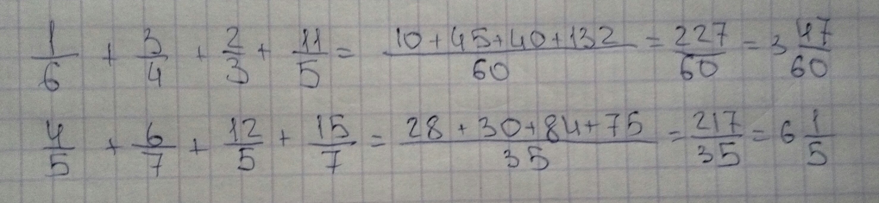
1/6 + 3/4 + 2/3 + 1 1/5 =


4/5 + 6/7 + 1 2/5 + 1 5/7 =

Ответы

Ответ дал: VIKa22130104
0
если непонятно, напиши мне, подробно напишу. удачи!
Приложения:
Вас заинтересует