Ответы
Ответ дал:
0
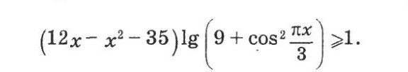
(12x - x² - 35)lg(9+cos²(px/3)) geq 1
(1 - (x-6)²)lg(9 + cos²(px/3)) geq 1
Рассмотрим уравнения
(1 - (x-6)²) - парабола с максимальным значением (в точке x=6) 1
lg(9 + cos²(px/3)) - лежит в диапазоне [lg(9); 1]
Следовательно, единственным решением будет когда оба выражения равны 1. Подходит только точка x=6.
Ответ: 6
(1 - (x-6)²)lg(9 + cos²(px/3)) geq 1
Рассмотрим уравнения
(1 - (x-6)²) - парабола с максимальным значением (в точке x=6) 1
lg(9 + cos²(px/3)) - лежит в диапазоне [lg(9); 1]
Следовательно, единственным решением будет когда оба выражения равны 1. Подходит только точка x=6.
Ответ: 6
Ответ дал:
0
Гений!
Вас заинтересует
2 года назад
2 года назад
3 года назад
3 года назад
9 лет назад
9 лет назад
10 лет назад
10 лет назад