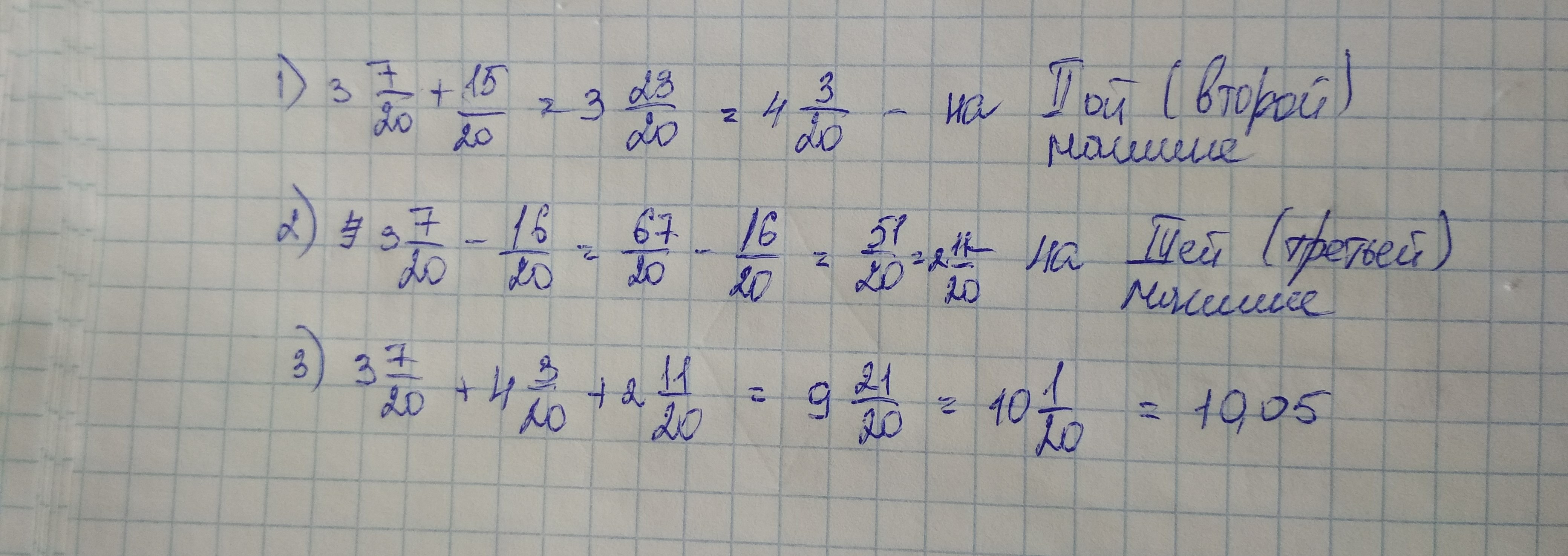
На базу привезли яблоки на трёх машинах.На первой машине были три целых семь двадцатых тонн это на 15 двадцатых тонн меньше,чем на второй машине,и на одну целых 16 двадцатых тонн больше,чем на третий. Сколько всего тонн яблок привезли на базу?
Ответы
Ответ дал:
0
Надеюсь, что правильно
В конце, если не надо в десятичной дроби, пиши в обыкновенной
В конце, если не надо в десятичной дроби, пиши в обыкновенной
Приложения:
Вас заинтересует
2 года назад
2 года назад
3 года назад
3 года назад
9 лет назад
9 лет назад
10 лет назад
10 лет назад