• Предмет: Математика
  • Автор: аленочка2000
  • Вопрос задан 9 лет назад

Решите уравнения пожалуйста без логарифмов

Приложения:

Ответы

Ответ дал: canira555a
0
 {(2 times 3)}^{ {x}^{2} + 2x } = 6 ^{ 3 times (x + 2)} \ {x}^{2} + 2x = 3x + 6 \ {x}^{2} - x - 6 = 0 \ x1 = 3 \ x2 = - 2
Привели к одному основанию
Опустили основания, так как они равны
Решили квадратное уравнение
Нашли корни по теореме Виета

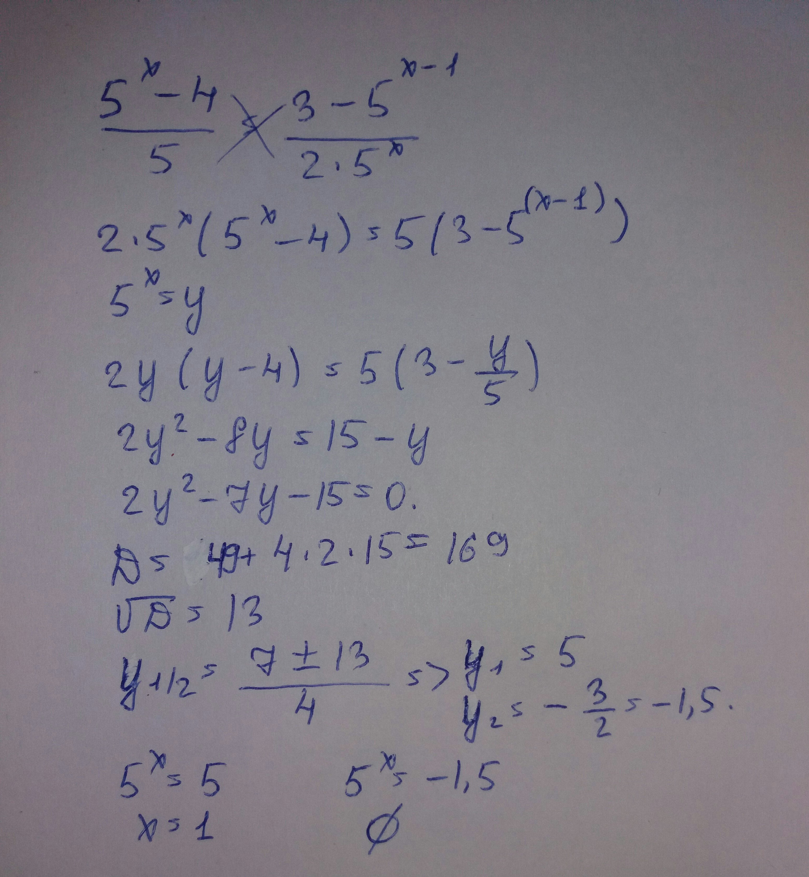
Решение второго примера на фото)
Приложения:
Вас заинтересует