Определите, какой массы необходимо подвесить груз, чтобы система находилась в равновесии
Приложения:

Ответы
Ответ дал:
0
Это моменты
М1=М2
М=F*l (l-расстояние на котором подвешен груз, F=mg в нашем случае)
g*m1*l1=g*m2*l2(g сократим)
5*3=m2*1 от сюда следует, что m2=15
Ответ: 15кг
М1=М2
М=F*l (l-расстояние на котором подвешен груз, F=mg в нашем случае)
g*m1*l1=g*m2*l2(g сократим)
5*3=m2*1 от сюда следует, что m2=15
Ответ: 15кг
Ответ дал:
0
Дано:
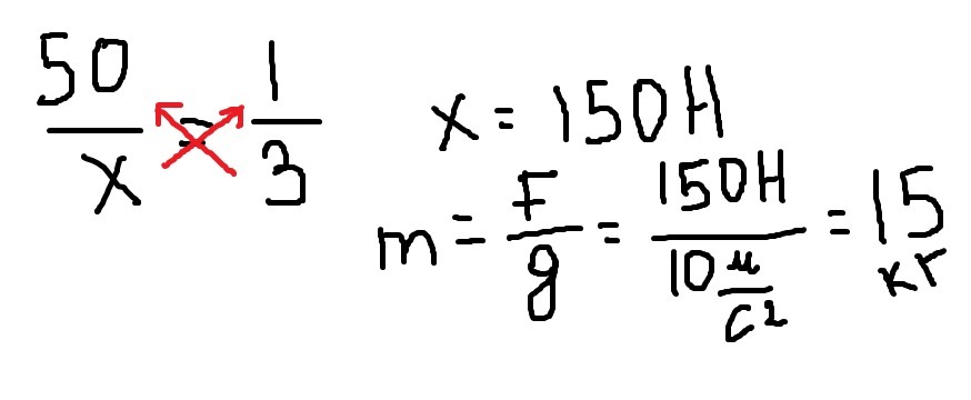
F1=10м/с²*5=50Н
F2=x??
l2=1
l1=3
Найти:F2
Решение:
Формула: F1/F2=l2/l1 - равновесие рычага
Ответ:m=15кг
F1=10м/с²*5=50Н
F2=x??
l2=1
l1=3
Найти:F2
Решение:
Формула: F1/F2=l2/l1 - равновесие рычага
Ответ:m=15кг
Приложения:

Ответ дал:
0
Если не сложно, отметь как лучший
Вас заинтересует
2 года назад
3 года назад
3 года назад
9 лет назад
9 лет назад