• Предмет: Алгебра
  • Автор: ХолявкаТвоя
  • Вопрос задан 8 лет назад

ПРИВЕТСТВУЮ

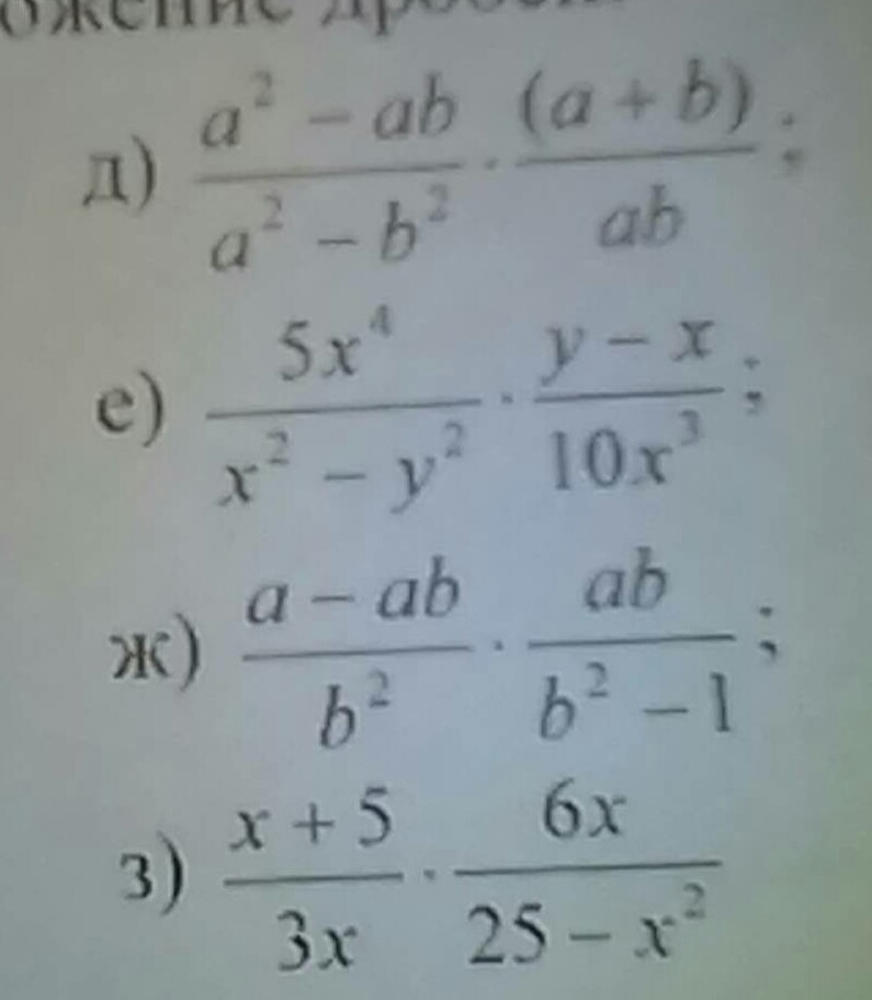
ВЫПОЛНИТЕ УМНОЖЕНИЕ ДРОБЕЙ! ПЛИЗ СРОЧНО

Приложения:

Ответы

Ответ дал: LenOk9
0
Обращайся, всегда помогу
Приложения:
Вас заинтересует