• Предмет: Алгебра
  • Автор: ХолявкаТвоя
  • Вопрос задан 9 лет назад

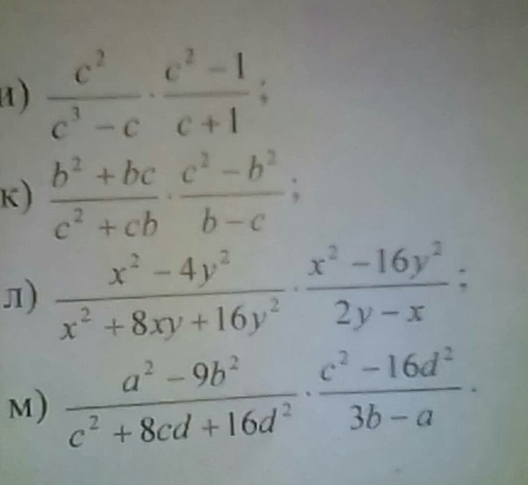
ПРИВЕТСТВУЮ вас!!!







ВЫПОЛНИТЕ УМНОЖЕНИЕ ДРОБЕЙ ПОЖАЛУЙСТА

Приложения:

Ответы

Ответ дал: LenOk9
0
Что-то непонятно будет, спрашивай
Приложения:
Ответ дал: salnik1909p5sg3s
0
Ответы...............
Приложения:
Вас заинтересует