• Предмет: Алгебра
  • Автор: Аноним
  • Вопрос задан 9 лет назад

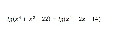
Пожалуйста решите уравнение:

Приложения:

Ответы

Ответ дал: Life11111
0
х^4+х^2-22=х^4-2х-14
х^2+2х-8=0
D=4+32=36
X1=2
X2=-4
Ответ дал: Life11111
0
Нет
Ответ дал: Аноним
0
Почему нет?
Ответ дал: Life11111
0
По формуле х=-b+_корень изD/2a
Ответ дал: Life11111
0
Надо проверить для этого подставь вместо х 2 и -4
Ответ дал: Аноним
0
получается -4
Вас заинтересует