• Предмет: Алгебра
  • Автор: Аноним
  • Вопрос задан 8 лет назад

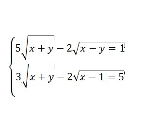
Решите систему уравнений:


Приложения:

Ответы

Ответ дал: Дмитрий1425
0
 sqrt{x+y}=a\
 sqrt{x-y}=b  \
 left { {{5a-2b=1} atop {3a-2b=5}} right.  left { {{5a-2b=1} atop {-3a+2b=5}} right.\2a=6\a=3\15-2b=1\-2b=-14\b=7\ left { {{ sqrt{x+y}=3 } atop { sqrt{x-y}=7 }} right.   left { {{x+y=9} atop {x-y=49}} right. \2x=58\x=29\29+y=9\y=-20
Вас заинтересует