• Предмет: Математика
  • Автор: alexplyusnin
  • Вопрос задан 9 лет назад

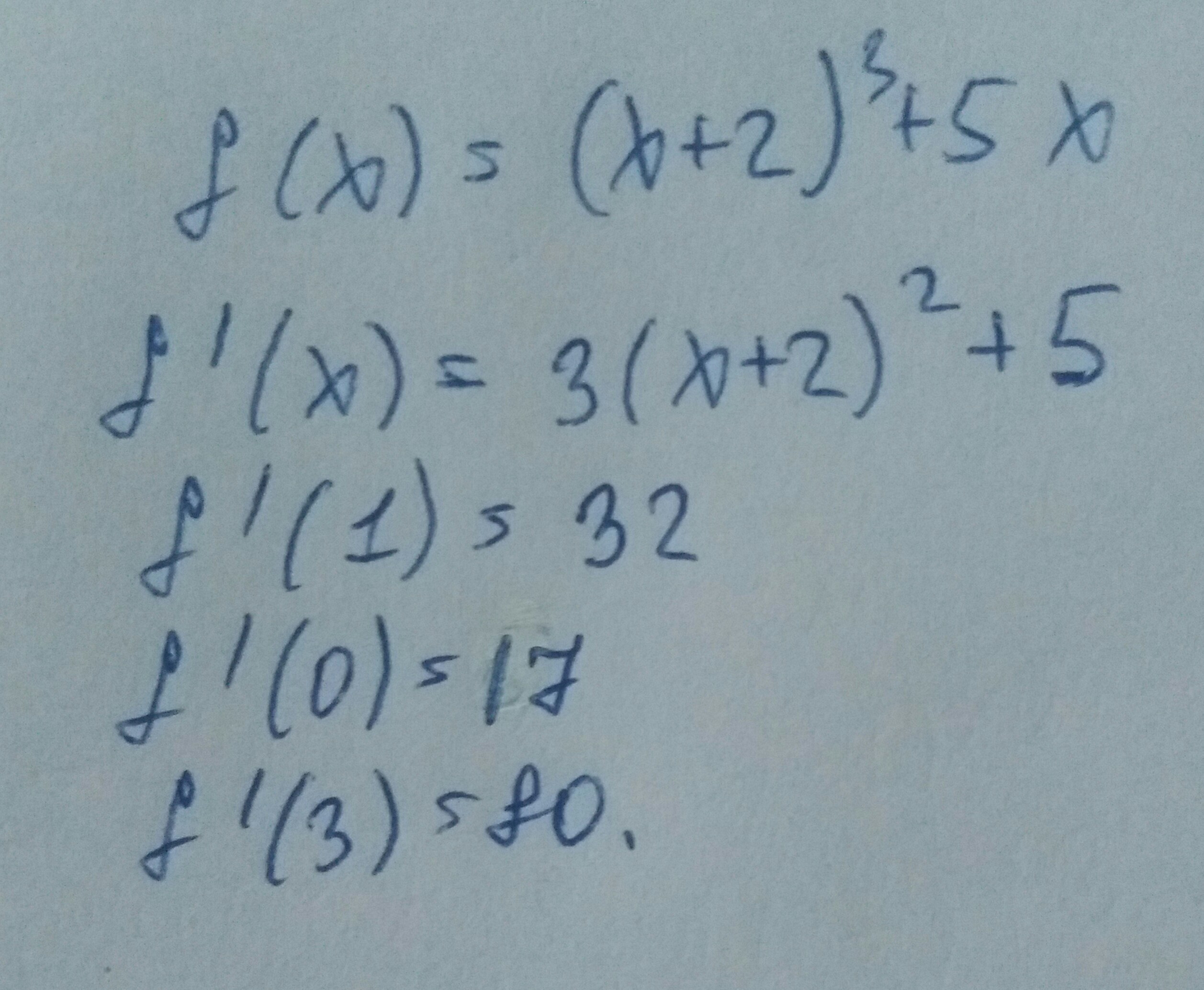
помогите пожалуйста: Вычислить значение первой производной функции f (x)=(x+2)^3+5x в точке x=1 и в нескольких точках m=[0:3].

Ответы

Ответ дал: canira555a
0
Вот производная и значение её в точках 1; 0; 3
Приложения:
Вас заинтересует