• Предмет: Геометрия
  • Автор: sxtxnxcsxxnd666
  • Вопрос задан 9 лет назад

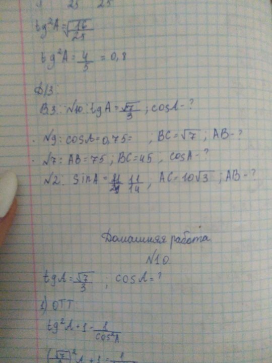
помогите пожалуйста, если что, 10 номер.
tgA =√7/3 ; cosA=?

Приложения:

Ответы

Ответ дал: Аноним
0
итак, расчет приведен в файле, но у вас не указана четверть , а знак перед корнем нужно выбрать в соответствии с четвертью данного угла (косинус положительный в I и IV четвертях, тангенс положительный в I и III четвертях)
Приложения:
Вас заинтересует