• Предмет: Математика
  • Автор: lenafok83
  • Вопрос задан 8 лет назад

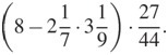
вычислите,запишите решение и ответ

Приложения:

Ответы

Ответ дал: Аноним
0
1) 2 1/7 * 3 1/9 = 15/7 * 28/9 = 20/3 = 6 2/3 
2) 8 - 6 2/3 = 7 3/3 - 6 2/3 = 1 1/3 
3) 1 1/3 * 27/44 = 4/3 * 27/44 = 9/11 
Ответ 9/11 
Вас заинтересует