Ответы
Ответ дал:
0
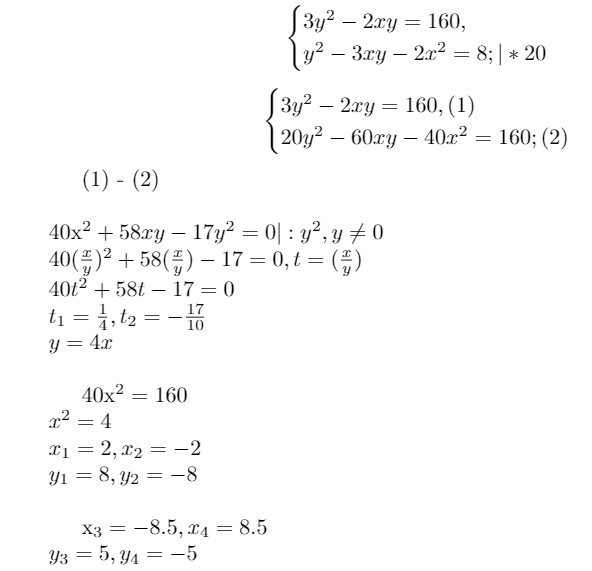
Последнюю пару корней нашел по аналогии
Приложения:

Ответ дал:
0
спасибо большое
Вас заинтересует
2 года назад
2 года назад
3 года назад
3 года назад
9 лет назад
9 лет назад
9 лет назад