• Предмет: Математика
  • Автор: Danilepishev
  • Вопрос задан 8 лет назад

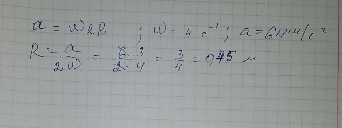
Из фор­му­лы цен­тро­стре­ми­тель­но­го уско­ре­ния a = ω2R най­ди­те R (в метрах), если ω = 4 с−1 и a = 64 м/с2

Ответы

Ответ дал: 1233090
0
решение задания смотри на фотографии
Приложения:
Ответ дал: pantera01092
0
a=w2R, R=a/2w, R= 64(м/с2)/2*4(с-1)=8(м)
Приложения:
Вас заинтересует