• Предмет: Математика
  • Автор: evaava098
  • Вопрос задан 9 лет назад

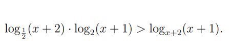
log1/2(x+2)*log2(x+1)>logx+2(x+1)

Приложения:

Ответы

Ответ дал: RakhimT
0
надеюсь понятно ? там переход к новому основания . log(2)
Приложения:
Ответ дал: kirichekov
0
по свойству степени (1/2)=2^(-1). по свойству логарифмов этот минус "переходит" множителем перед логарифмов, потом из правой части перенесли слагаемое в левую. минус вынесли за скобки и разделили обе части неравенства на (-1). итог: знак неравенства меняется
Ответ дал: evaava098
0
аа, моя внимательность как всегда, спасибо
Ответ дал: RakhimT
0
Полностью согласен . просто я не могу в большинстве случаев так объяснять. только практика
Ответ дал: kirichekov
0
хорошая у Вас практика!
Ответ дал: RakhimT
0
))
Вас заинтересует