• Предмет: Алгебра
  • Автор: Mmmmmmamba
  • Вопрос задан 9 лет назад

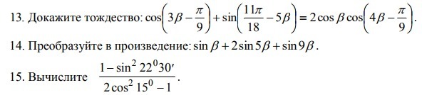
Уважаемые завсегдатаи этого сайта,требуется помощь в этих заданиях.

Приложения:

Ответа на этот вопрос пока нет. Попробуйте найти его через форму поиска.

Вас заинтересует