Помогите пожалуйста решить...
1. Продифференцировать
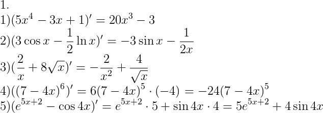
1) 5x⁴- 3x + 1
2) 3 cos x - ½ln x
3) 2/x + 8 √x
4) (7 - 4x)^6
5) e^5x+2- cos 4x
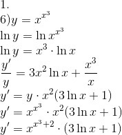
6) y = x^x³ (метод логарифмического дифференцирования)
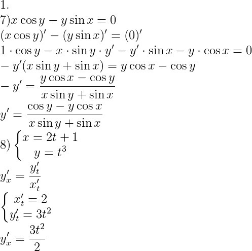
7) x cos y - y sin x = 0 (дифференцирование неявной функции)
Приложения:

Ответы
Ответ дал:
0
----------------------------------
Приложения:



Вас заинтересует
2 года назад
2 года назад
3 года назад
3 года назад
9 лет назад
9 лет назад