• Предмет: Алгебра
  • Автор: kuka1212
  • Вопрос задан 11 лет назад

2 в -5 степени и 2 в -4 степени сравните

Ответы

Ответ дал: SergFlint
0

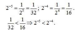
Ответ:

2^(-5) < 2^(-4).

Объяснение: в приложении.

Приложения:
Вас заинтересует