• Предмет: Алгебра
  • Автор: hidansd
  • Вопрос задан 8 лет назад

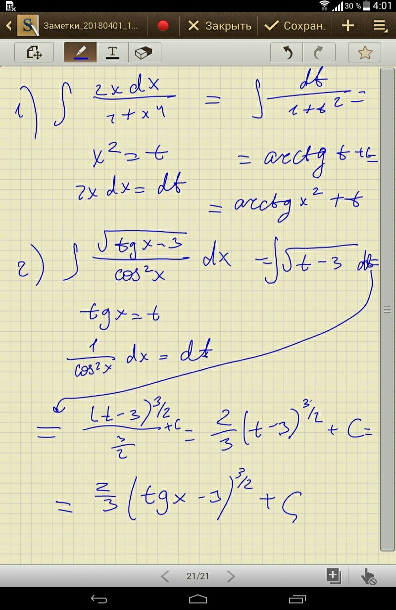
Помогите решить неопределенные интегралы!
1)$ 2xdx/1+x^4
2)$sqrt{tgx-3} /cos^2 x ,dx в числителе
где $-знак интеграла,решить желательно подробно

Ответы

Ответ дал: rusfiz
0
.......................
Приложения:
Ответ дал: hidansd
0
спасибо
Вас заинтересует