Ответы
Ответ дал:
0
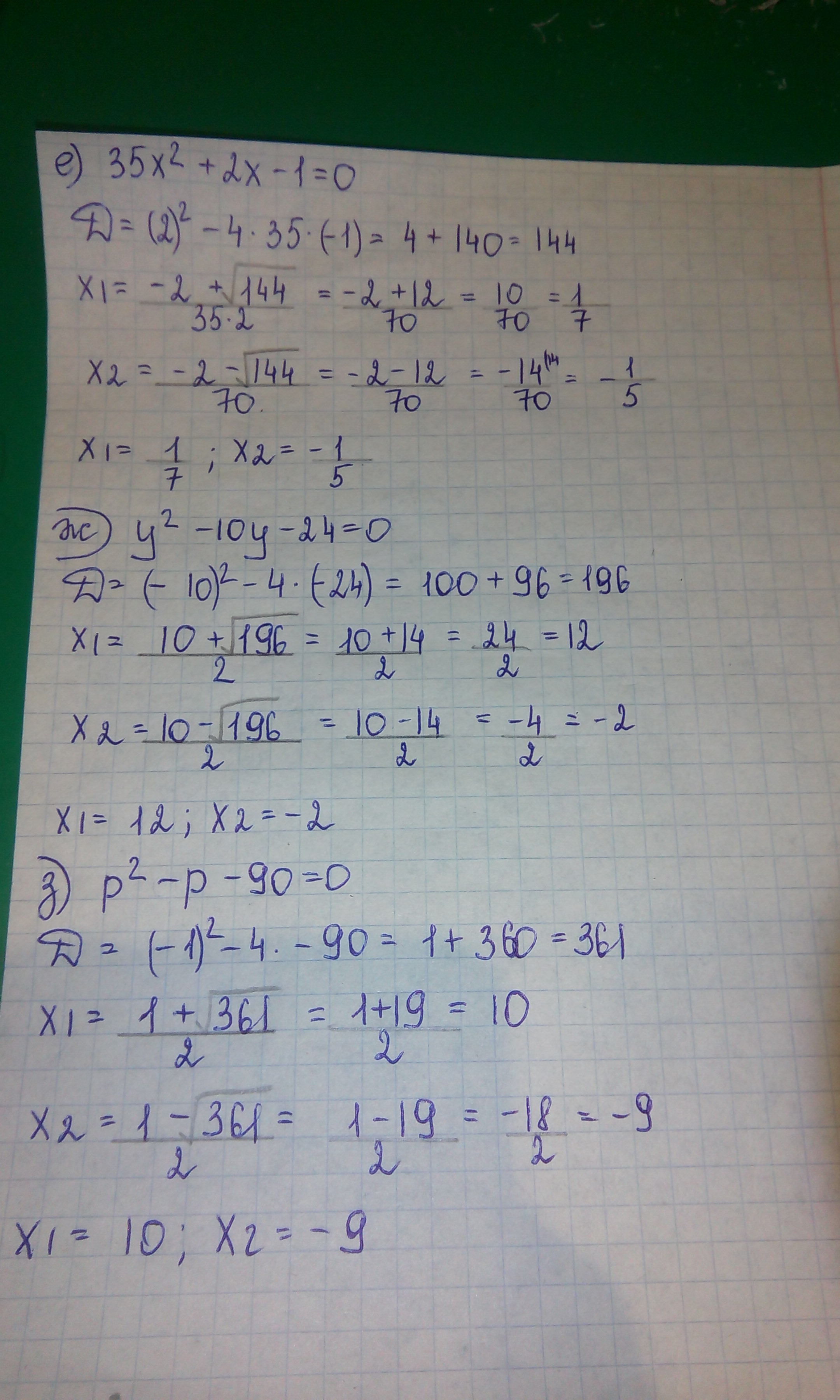
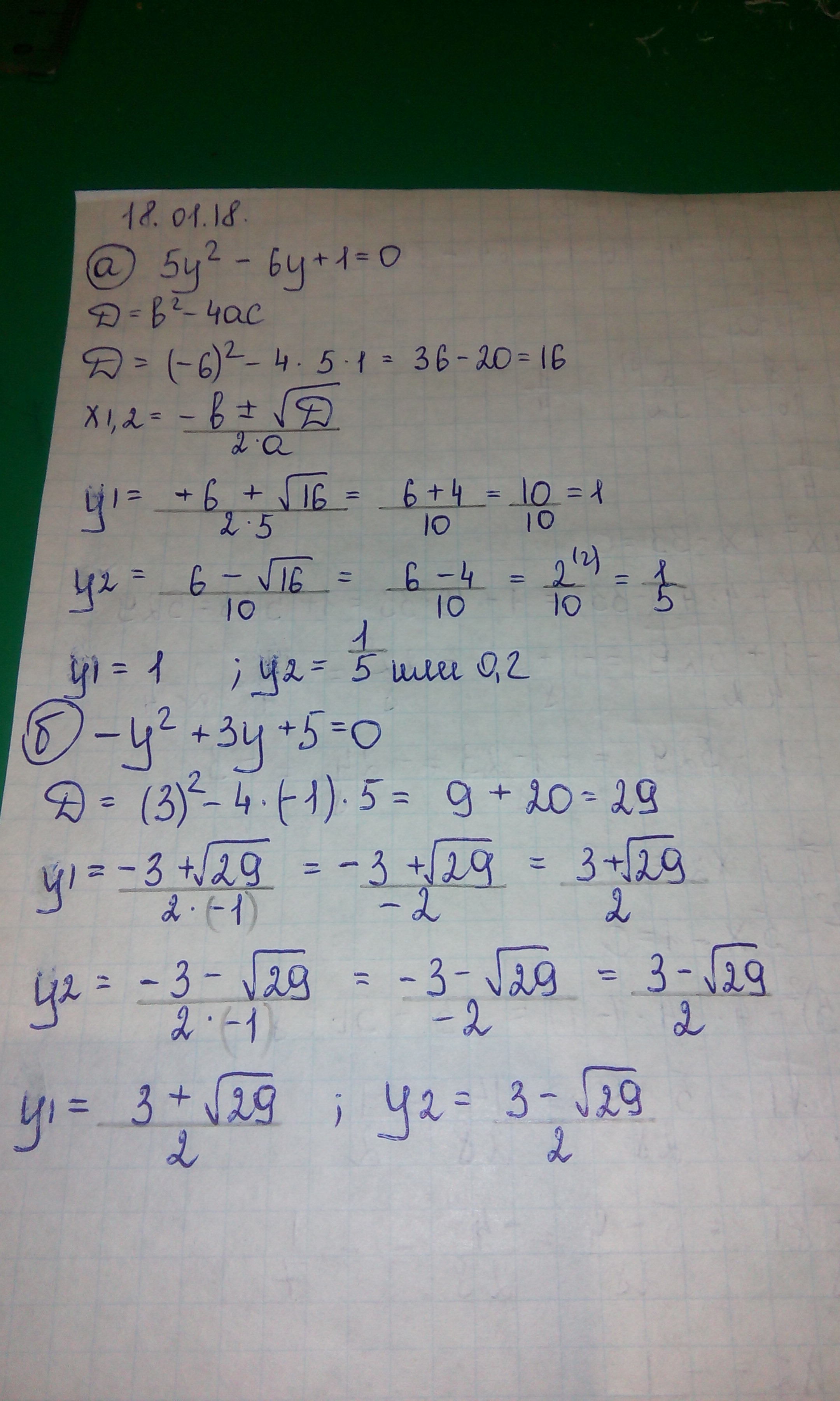
Решение на фотографиях
20.01.18
ж)x^2-8x-84=0
D=(-8)^2-4*(-84)=64+336=400
x1=(8+√400)/2=(8+20)/2=28/2=14
x2=((8-√400)/2=(8-20)/2=-12/2=-6
3)y^2-10y-25=0
D=(-10)^2-4*(-25)=100+100=200
y1=(10+√200)/2=(10+10√2)/2=5+5√2
y2=(10-√200)/2=(10-10√2)/2=5-5√2
20.01.18
ж)x^2-8x-84=0
D=(-8)^2-4*(-84)=64+336=400
x1=(8+√400)/2=(8+20)/2=28/2=14
x2=((8-√400)/2=(8-20)/2=-12/2=-6
3)y^2-10y-25=0
D=(-10)^2-4*(-25)=100+100=200
y1=(10+√200)/2=(10+10√2)/2=5+5√2
y2=(10-√200)/2=(10-10√2)/2=5-5√2
Приложения:
Ответ дал:
0
Добавила, на з и ж уже места нет, можно просто напишу?
Ответ дал:
0
можно
Ответ дал:
0
а можите еще скинуть
Ответ дал:
0
Все решила
Ответ дал:
0
спасибо
Вас заинтересует
2 года назад
3 года назад
3 года назад
9 лет назад
10 лет назад
10 лет назад