Ответы
Ответ дал:
0
Если есть ошибки или вопросы - пишите
Приложения:

Ответ дал:
0
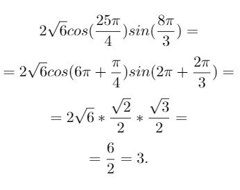
2√6*√2/2*√3/2
√6*√2*√3/2
√36/2
6/2
3
√6*√2*√3/2
√36/2
6/2
3
Приложения:

Вас заинтересует
2 года назад
3 года назад
9 лет назад