• Предмет: Математика
  • Автор: evaava098
  • Вопрос задан 8 лет назад

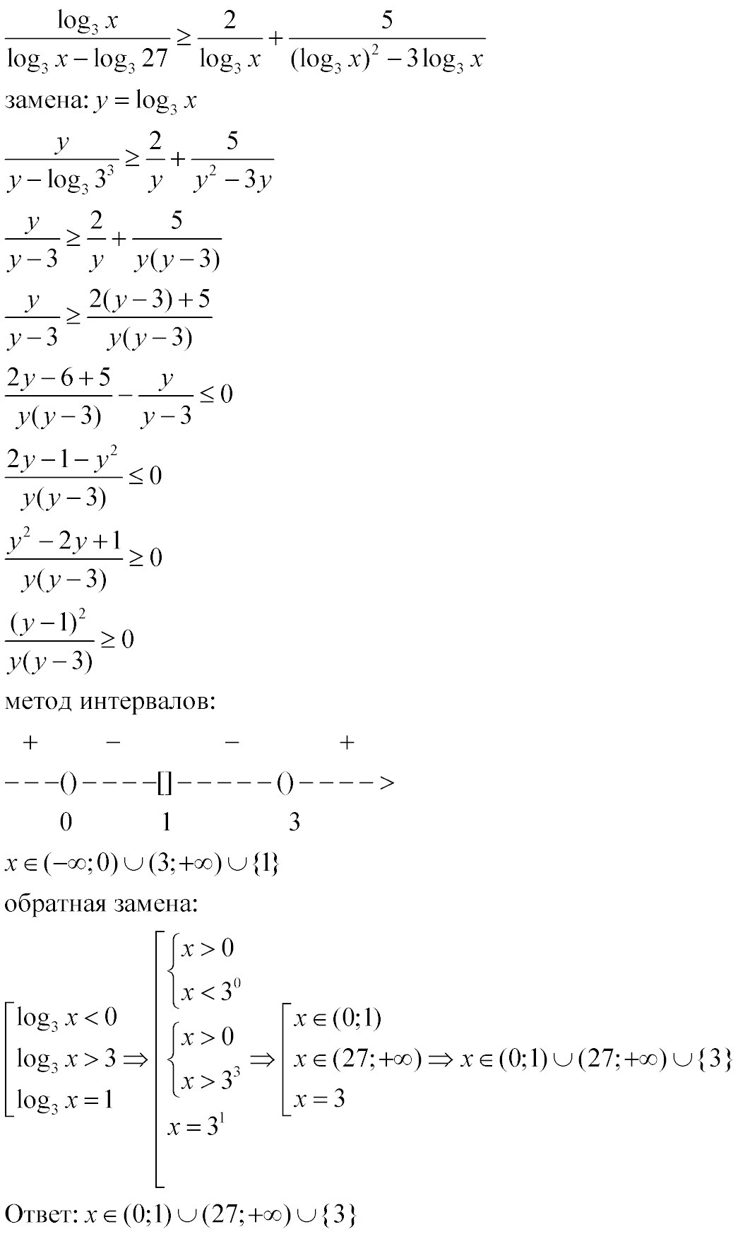
log3(x)/log3(x/27)≥2/log3(x)+5/log^2 3(x)-log3(x^3)

Приложения:

Ответы

Ответ дал: AnonimusPro
0
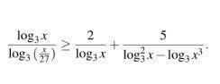
решение и ответ во вложении
Приложения:
Вас заинтересует