• Предмет: Алгебра
  • Автор: Pozharskiy
  • Вопрос задан 8 лет назад

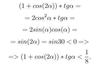
сравните значения выражения (1+cos2a)tga при a=15 с числом 1/8

Ответы

Ответ дал: sMaxym
0
Если есть вопросы или ошибки - пишите
Приложения:
Ответ дал: Vilmar
0
а чего синус 30 меньше 0 ?
Ответ дал: sMaxym
0
sin(30) это немного меньше sin(10*pi) , а последнее рано 0 и лежит на положительной части оси х
Ответ дал: sMaxym
0
отсюда sin(30) - меньше нуля
Ответ дал: Vilmar
0
синус 30 градусов =1/2
Ответ дал: sMaxym
0
это в радианах
Вас заинтересует