квадрат сторон треугольника равны a2;b2;a2+b2. Найти все три высоты треугольника(двойка после цифр означает квадрат)
Ответы
Ответ дал:
0
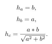
Треугольник прямоугольный, следовательно:
Приложения:
Вас заинтересует
2 года назад
2 года назад
3 года назад
3 года назад
9 лет назад
9 лет назад
10 лет назад