• Предмет: Алгебра
  • Автор: uiv81096
  • Вопрос задан 9 лет назад

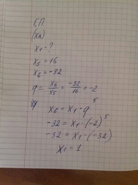
Найдите первый член геометрической прогрессии Хn, если Х5=16, Х6=-32

Ответы

Ответ дал: Аноним
0
итак................................
Приложения:
Ответ дал: uiv81096
0
Благодарю
Ответ дал: Аноним
0
)))
Вас заинтересует