• Предмет: Математика
  • Автор: ruscraz
  • Вопрос задан 8 лет назад

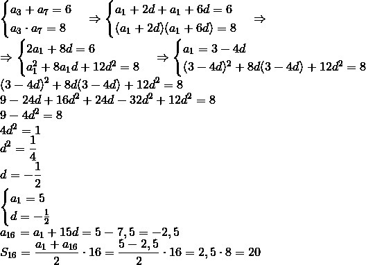
В убывающей арифметической прогрессии a3+a7=6 и a3×a7=8
Найти S16

Ответы

Ответ дал: Trover
0
begin{cases}a_3+a_7=6\a_3cdot a_7=8end{cases}Rightarrowbegin{cases}a_1+2d+a_1+6d=6\(a_1+2d)(a_1+6d)=8end{cases}Rightarrow\Rightarrowbegin{cases}2a_1+8d=6\a_1^2+8a_1d+12d^2=8end{cases}Rightarrowbegin{cases}a_1=3-4d\(3-4d)^2+8d(3-4d)+12d^2=8end{cases}\(3-4d)^2+8d(3-4d)+12d^2=8\9-24d+16d^2+24d-32d^2+12d^2=8\9-4d^2=8\4d^2=1\d^2=frac14\d=-frac12\begin{cases}a_1=5\d=-frac12end{cases}\a_{16}=a_1+15d=5-7,5=-2,5\S_{16}=frac{a_1+a_{16}}2cdot16=frac{5-2,5}2cdot16=2,5cdot8=20
Приложения:
Вас заинтересует