Ответы
Ответ дал:
0
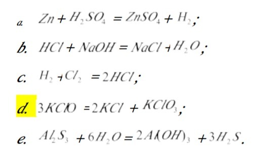
A) это точно
Б) Нет,т.к это обмен,и тут степени окисление не меняют
С) это точно
Д) это точно,т.к тут разложение и с.о меняются у Cl2
E) тут нет,т.к тут степени окисление не меняются
Б) Нет,т.к это обмен,и тут степени окисление не меняют
С) это точно
Д) это точно,т.к тут разложение и с.о меняются у Cl2
E) тут нет,т.к тут степени окисление не меняются
Вас заинтересует
2 года назад
2 года назад
3 года назад
9 лет назад
10 лет назад
10 лет назад