• Предмет: Алгебра
  • Автор: annaastrebova84
  • Вопрос задан 9 лет назад

Помогите пожалуйста
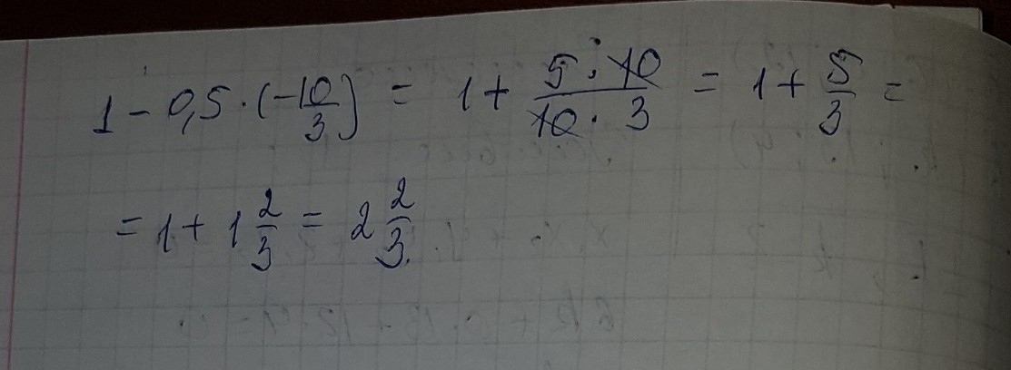
1 целая-0,5 *(-10/3)=

Ответы

Ответ дал: 1233090
0
решение задания смотри на фотографии
Приложения:
Ответ дал: Клубника1517
0
Написала карандашом, надеюсь видно .
Приложения:
Вас заинтересует