Помогите выполнить задание по математике
Нахождение коэффициента
Раскрытие скобок
файл приложен
Приложения:
Ответы
Ответ дал:
0
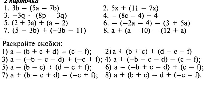
1)a-(b+c+d)-(c-f)=a-b-c-d-c+f=a-b-2c-d+f
2)a+(b+c)+(d-c-f)=a+b+c+d-c-f=a+b+d-f
3)a-(-b-c-d)+(-c+f)=a+b+c+d-c+f=a+b+d+f
4)a+(-b-c-d)-(c-f)=a-b-c-d-c+f=a-b-2c-d+f
5)a-(b-c)+(d-c+f)=a-b+c+d-c+f=a-b+d+f
6)a-(-b+c-d)+(c-f)=a+b-c+d+c-f=a+b+d-f
7)a+(b-c+d)-(-c+f)=a+b-c+d+c-f=a+b+d-f
8)a+(b+c)-d+(-c-f)=a+b+c-d-c-f=a+b-d-f
2)a+(b+c)+(d-c-f)=a+b+c+d-c-f=a+b+d-f
3)a-(-b-c-d)+(-c+f)=a+b+c+d-c+f=a+b+d+f
4)a+(-b-c-d)-(c-f)=a-b-c-d-c+f=a-b-2c-d+f
5)a-(b-c)+(d-c+f)=a-b+c+d-c+f=a-b+d+f
6)a-(-b+c-d)+(c-f)=a+b-c+d+c-f=a+b+d-f
7)a+(b-c+d)-(-c+f)=a+b-c+d+c-f=a+b+d-f
8)a+(b+c)-d+(-c-f)=a+b+c-d-c-f=a+b-d-f
Вас заинтересует
2 года назад
3 года назад
9 лет назад
10 лет назад
10 лет назад